Tin mới
Tin tức - Sự kiện
A- A A+ | Tăng tương phản Giảm tương phản

Tiêu chuẩn phân loại lao động theo điều kiện lao động

Bộ Lao động - Thương binh và Xã hội đã ban hành Thông tư 03/2025/TT-BLĐTBXH quy định tiêu chuẩn phân loại lao động theo điều kiện lao động.

Bộ Lao động - Thương binh và Xã hội đã ban hành Thông tư 03/2025/TT-BLĐTBXH quy định tiêu chuẩn phân loại lao động theo điều kiện lao động.

Tiêu chuẩn phân loại lao động theo điều kiện lao động- Ảnh 1.

Theo Thông tư quy định, có 6 loại điều kiện lao động, từ loại I đến loại VI

Theo Thông tư quy định, có 6 loại điều kiện lao động, từ loại I đến loại VI.

Trong đó, nghề, công việc có điều kiện lao động được xếp loại I, II, III là nghề, công việc không nặng nhọc, không độc hại, không nguy hiểm.

Nghề, công việc có điều kiện lao động được xếp loại IV là nghề, công việc nặng nhọc, độc hại, nguy hiểm.

Nghề, công việc có điều kiện lao động được xếp loại V, VI là nghề, công việc đặc biệt nặng nhọc, độc hại, nguy hiểm.

Theo Thông tư, 6 loại điều kiện lao động nêu trên được đánh giá, xếp loại theo các phương pháp sau: Phương pháp đánh giá, tính điểm; phương pháp khác (phương pháp thống kê, kinh nghiệm; phương pháp kết hợp).

Trong đó, phương pháp đánh giá, tính điểm được thực hiện theo quy trình sau:

a) Xác định tên nghề, công việc cần đánh giá, xác định điều kiện lao động, quy mô lấy mẫu:

Việc lấy mẫu đối với mỗi nghề, công việc phải bảo đảm quy mô mẫu theo quy định về thống kê, nghiên cứu, phải được thực hiện phù hợp với từng loại hình, quy mô của cơ sở sản xuất, kinh doanh, dịch vụ và đại diện vùng, miền lấy mẫu. Sử dụng công thức sau:

Tiêu chuẩn phân loại lao động theo điều kiện lao động- Ảnh 2.

 

Trong đó:

n: số lượng mẫu cần xác định

N: quy mô tổng thể (Tổng số người làm nghề, công việc cần đo đánh giá trong ngành, lĩnh vực hoặc trong doanh nghiệp).

e: Sai số cho phép

Thông tư nêu rõ:

- Khi tính cỡ mẫu cho toàn ngành thì sai số e cho phép không quá 10%.

- Khi tính cỡ mẫu trong một doanh nghiệp cụ thể của từng ngành thì sai số e cho phép không quá 20% đối với doanh nghiệp có dưới 1.000 người lao động làm nghề, công việc được đánh giá; không quá 10% đối với doanh nghiệp có từ 1.000 người lao động trở lên làm nghề, công việc được đánh giá.

b) Đánh giá điều kiện lao động theo hệ thống chỉ tiêu về điều kiện lao động:

Bước 1: Xác định các yếu tố có tác động sinh học đến người lao động trong hệ thống chỉ tiêu về điều kiện lao động quy định tại Phụ lục I ban hành kèm theo Thông tư này (Vi khí hậu; áp lực không khí; nồng độ bụi vượt giới hạn cho phép; mức tiêu hao năng lượng cơ thể...)

Bước 2: Lựa chọn ít nhất 06 yếu tố đặc trưng tương ứng với mỗi nghề, công việc. Các yếu tố này phải bảo đảm phản ánh đủ 3 nhóm yếu tố trong hệ thống chỉ tiêu về điều kiện lao động quy định tại Phụ lục I.

Bước 3: Chọn 01 chỉ tiêu đối với mỗi yếu tố đặc trưng đã chọn tại Bước 2 để tiến hành đánh giá và cho điểm, trên cơ sở bảo đảm các nguyên tắc sau đây:

- Thang điểm để đánh giá mức độ nặng nhọc, độc hại, nguy hiểm của từng yếu tố là thang điểm 6 quy định tại Phụ lục I. Mức độ nặng nhọc, độc hại, nguy hiểm càng lớn thì điểm càng cao.

- Thời gian tiếp xúc của người lao động với các yếu tố dưới 50% thời gian của ca làm việc thì điểm số hạ xuống 01 điểm. Đối với hóa chất độc, điện từ trường, rung, ồn, bức xạ ion hóa, thay đổi áp suất, yếu tố gây bệnh truyền nhiễm thì điểm xếp loại hạ xuống 01 điểm khi thời gian tiếp xúc dưới 25% thời gian của ca làm việc.

- Đối với các yếu tố quy định thời gian tiếp xúc cho phép thì hạ xuống 01 điểm nếu thời gian tiếp xúc thực tế khi làm việc dưới 50% thời gian tiếp xúc cho phép.

- Đối với những yếu tố có thể sử dụng nhiều chỉ tiêu (từ 02 chỉ tiêu trở lên) để đánh giá thì chỉ chọn 01 chỉ tiêu chính để đánh giá và cho điểm; có thể đánh giá các chỉ tiêu khác nhằm tham khảo, bổ sung thêm số liệu cho chỉ tiêu chính.

- Việc áp dụng kết quả quan trắc môi trường lao động định kỳ đối với nhóm yếu tố vệ sinh môi trường lao động phải bảo đảm tính phù hợp về quy mô mẫu, vị trí lấy mẫu, thời điểm lấy mẫu phù hợp với việc đánh giá phân loại điều kiện lao động.

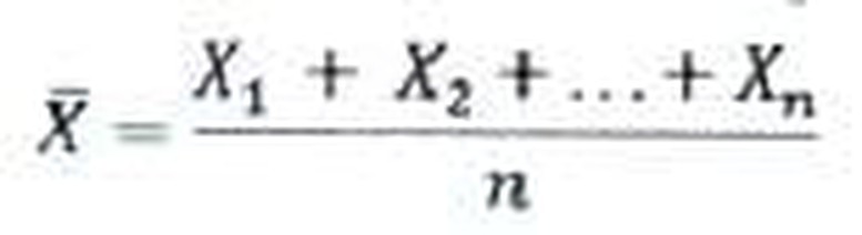
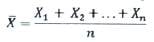
Bước 4: Tính điểm trung bình các yếu tố theo công thức:

Tiêu chuẩn phân loại lao động theo điều kiện lao động- Ảnh 3.

 

Tiêu chuẩn phân loại lao động theo điều kiện lao động- Ảnh 4.

Trách nhiệm của bộ quản lý ngành, lĩnh vực, người sử dụng lao động  

Thông tư quy định, người sử dụng lao động phái kiểm soát các yếu tố nguy hiểm, yếu tố có hại theo quy định tại Chương II Nghị định số 39/2016/NĐ-CP ngày 15 tháng 5 năm 2016 của Chính phủ quy định chi tiết và hướng dẫn thi hành một số điều của Luật An toàn, vệ sinh lao động; căn cứ vào kết quả quan trắc môi trường lao động và kết quả phòng chống các yếu tố nguy hiểm, yếu tố có hại để đánh giá việc cải thiện điều kiện lao động của các nghề, công việc đang áp dụng; nếu cần xác định loại điều kiện lao động thì thực hiện theo phương pháp phân loại điều kiện lao động quy định tại Thông tư này.

Hằng năm, các bộ quản lý ngành, lĩnh vực chủ động rà soát điều kiện lao động của các nghề, công việc thuộc ngành, lĩnh vực của mình; nếu cần xác định loại điều kiện lao động thì thực hiện theo theo phương pháp phân loại điều kiện lao động tại Thông tư này.

Trường hợp phát sinh nghề, công việc mới có yếu tố nặng nhọc, độc hại, nguy hiểm thì bộ quản lý ngành, lĩnh vực, người sử dụng lao động thực hiện đánh giá, xếp loại điều kiện lao động theo quy định để xác định loại điều kiện lao động của nghề, công việc đó.

Thông tư này có hiệu lực kể từ ngày 01/4/2025.

 

Các tin khác

Tin đọc nhiều